PA视讯(中国区)官网 - PlayAce AG旗舰
集团首页
首页
关于我们
PA视讯官方网站介绍
公司领导
机构设置
团队队伍
基础课
学科教学(语文)
学科教学(思政)
学科教学(英语)
学科教学(生物)
学科教育(物理)
学科教育(历史)
学科教育(数学)
学科教育(地理)
学科教育(化学)
研究生人才招聘
招生工作
就业工作
研究生教学
公司产品
联合培养基地
研究生工作
通知公告
员工组织
员工党建
党建工作
工作动态
组织机构
社会服务(培训)
下载中心
上级文件
集团文件
相关表格
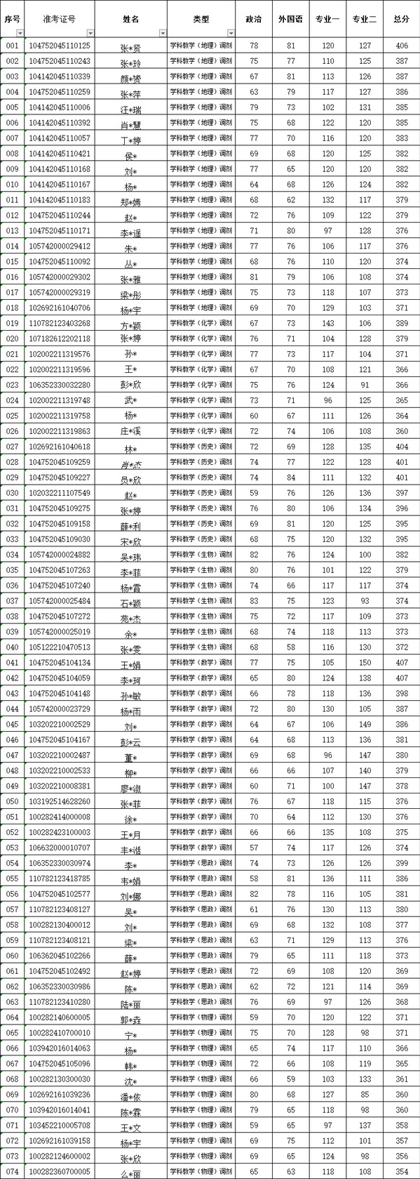
2022年硕士研究生调剂第一批复试考生名单公示
发布者:何兴新
发布时间:2022-04-10
浏览次数:
2156